Exercise 4: Proof of Formula 5: Derivative of Cross Product of Vector Functions via Definition
In this video I once again prove Formula 5 of the Differentiation Rules for Vector Functions but this time obtain the derivative of the cross product of vector functions via the definition of derivative. The key for this derivation is to manipulate the numerator of the definition to obtain two limits, which I show are the corresponding derivatives for u and v vector functions. Compare this derivation with my earlier one using the brute force derivative of the components of the cross product. Both obtain the same result!
#math #vectors #calculus #crossproduct #education

Timestamps
- Exercise 4: Proof of Formula 5: Derivative of Cross Product: 0:00
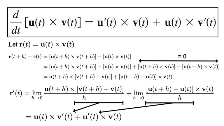
- Solution 2: Definition of Derivative of Vector Functions: 0:40
- Recap on properties of the cross product: 1:15
- Apply the definition for our cross product: 2:38
- Add and subtract terms to not change the equation so we can factor out like terms: 3:55
- Dividing by h and taking the limit to obtain the definition of derivative: 8:10
- Separate to obtain two definitions of derivatives: 10:17
- Identifying the definition of derivatives obtains our result: 12:15
- Recall the properties of vector function limits: 13:18
Notes and playlists
- Summary: https://inleo.io/threads/view/mes/re-leothreads-2imxttrfw
- Notes: https://peakd.com/hive-128780/@mes/hfsetrue
- Sections playlist: https://www.youtube.com/playlist?list=PLai3U8-WIK0FgQ3jBd9IFaWOakOWbHous
- Vector Functions playlist: https://www.youtube.com/playlist?list=PLai3U8-WIK0FgQ3jBd9IFaWOakOWbHous .
Become a MES Super Fan! https://www.youtube.com/channel/UCUUBq1GPBvvGNz7dpgO14Ow/join
DONATE! ʕ •ᴥ•ʔ https://mes.fm/donate
SUBSCRIBE via EMAIL: https://mes.fm/subscribe
MES Links: https://mes.fm/links
MES Truth: https://mes.fm/truth
Official Website: https://MES.fm
Hive: https://peakd.com/@mes
Email me: [email protected]
Free Calculators: https://mes.fm/calculators
BMI Calculator: https://bmicalculator.mes.fm
Grade Calculator: https://gradecalculator.mes.fm
Mortgage Calculator: https://mortgagecalculator.mes.fm
Percentage Calculator: https://percentagecalculator.mes.fm
Free Online Tools: https://mes.fm/tools
iPhone and Android Apps: https://mes.fm/mobile-apps
▶️ 3Speak
Congratulations @mes! You have completed the following achievement on the Hive blockchain And have been rewarded with New badge(s)
Your next target is to reach 16000 comments.
Your next target is to reach 75000 replies.
You can view your badges on your board and compare yourself to others in the Ranking
If you no longer want to receive notifications, reply to this comment with the word
STOP